| Адрес | Нижний Новгород, Московский район, Московское шоссе, 201 |
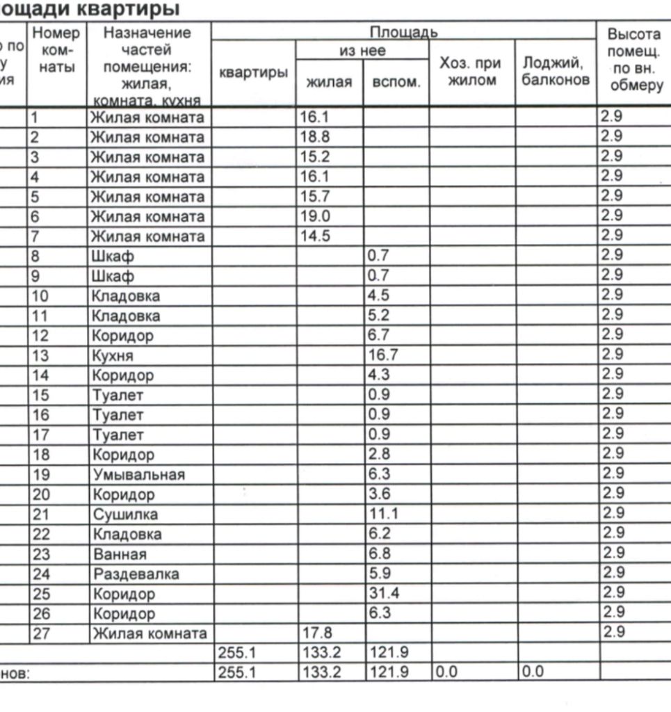
| Площадь квартиры | 255.1 / 16.1 / 16.7 м2 |
| Площадь продаваемой комнаты | 16.1 кв.м. |
| Комнат в квартире | 1 |
| Этаж | 1 из 3 |
| Дом | Кирпичный |
| Состояние | хорошее |
| Отопление | Центральное |
| Газ | есть |
Уютная светлая комната 16,1 кв.м. с высокими потолками, подходит под все виды расчета, по документам - КОМНАТА. Общежитие, в крыле 8 комнат. Места общего пользования в очень хорошем состоянии, везде чисто, соседи хорошие. Несколько туалетов, ванна, прачечная, сушилка, кладовки, общая кухня 16,7 кв.м. - везде чистота и порядок. В комнате есть погреб. Есть возможность провести воду и канализацию в комнату (см. последнее фото) и сделать полноценную квартиру-студию, некоторые соседи уже воспользовались этой возможностью. Во дворе достаточно места для парковки автомобиля.
Микрорайон Красных Зорь, рядом улицы: Люкина, Красных Зорь, Орлова, Рябцева, Березовская, Тихорецкая, Авангардная. |
|